INI CET 2023 January Session: Exam Dates (OUT), Registration (Begins), Best Books, Preparation Tips
The INI CET exam for the January 2023 session will be held on November 13. Read on to learn more...
The INI CET exam for the January 2023 session will be held on November 13. Read on to learn more...
Find our list of California schools with health and wellness facilities here. Also Read:- New York State Department of Health-...
In advance of the site's formal debut later this month, borrowers can fill out an application on the Department of...
Students seeking an affordable, high-quality education have no shortage of options in Canada. Numerous Canadian colleges provide a broad range...
5391 words that begin with al were located. To find words beginning with al, use Scrabble Word Finder, Wordle solver,...
ASAP, ALAP and ATAP are acronyms that stand for, respectively, as soon as possible, as late as possible and as timely as possible. Also Read:- TAT...
What is the meaning of TAT here are the exact meaning of TAT. New tat meaning: that's privileged info, but it's...
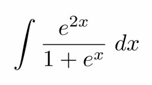
Let's review some information about e2x before attempting to determine the integral of e to the 2x. It is an...
What Is the Definition of a “Restaurant”? A restaurant is a location and a company where clients are provided food...
If a company wants to reduce costs and stay on time, it must have reliable project management in place. Project...